[6] 2020 PEET 문제와 해설 - 생각하는 유기화학
2020년도 PEET 문제와 해설
문제와 해설을 비롯한 추가적인 내용은 아래의 책(e-book)에서 확인할 수 있습니다.
[4] 📕 생각하는 유기화학
요약 정보 출판일 2022.05.27 출판사 유페이퍼 저자 아나팜(구형모) ISBN 9791192477251 구매링크 링크 책 소개 이 책은 2015년도 이후부터 2022년도 현재까지의 약학교육입문자격시험(PEET, 피트) 유기화학
anapharm.co.kr
생각하는 유기화학
이 책은 2015년도 이후부터 2022년도 현재까지의 약학교육입문자격시험(PEET, 피트) 유기화학 문항과 해설을 수록하였다. 이 문제들은 단순히 약학대학을 준비하는 수험생뿐 아니라 유기화학 과목
digital.kyobobook.co.kr
문제 1번

1) sp3 탄소의 카이랄 중심은 4개로 옳다. (O)
2) bicyclo ring을 포함한 구조이다. (O)
3) 탄소가 4개 치환된 탄소는 2개로 같다. (O)
4) B의 불포화도는 3이다. (X)
5) bicyclo쪽이 우선순위가 더 높으므로 S이다. (O)
정답 4번
문제 2번

1) 쌓임 구조를 잘 유지할 수 있는 왼쪽 alkyl 구조가 Olefin에 비해 더 녹는점이 높다. (X)
2) Radical 공명을 할 수 있는 오른쪽 구조가 더 안정하다. (O)
3) sp3-Cl > sp2-Cl, s-character가 클수록 EWG효과가 강해져 결합길이가 짧아진다. (X)
4) 공명구조가 길게 비편재화되어있는 왼쪽 구조의 산도가 더 크다. (X)
5) EWG, EDG 모두 같은 방향으로 방향성이 있는 왼쪽 구조가 더 쌍극자 모멘트가 크다. (X)
정답 2번
문제 3번

1) 오른쪽 구조는 벤질 라디칼이 생성될 수 없으므로 반응하지 않는다. 왼쪽 구조가 반응속도가 더 빠르다. (X)
2) SN1 반응에서 입체장애가 적은 물의 반응성이 더 크다. (X)
3) Protic solvent에서 0차 탄소의 SN2 반응은 Halogen 주기가 커질수록 크다. (X)
4) EAS의 반응성은 강한 EDG가 반응속도가 빠르다. (O)
5) Alkene은 전자 주개 synthon이고 R-CO3H는 받개이므로 R이 EWG일수록 반응성이 크다. (X)
정답 4번
문제 4번

세 가지 모두 입체배열은 R이다.
탄소중심으로부터 뻗어나가는 작용기의 원자번호를 순서대로 비교한다.
정답 1번
문제 5번

A : 산 촉매 Ester분해반응 후 Epoxide 생성 (SN2) 하므로 둘 다 Down 구조이다.
B : 분자 내 Halo-hydrin반응으로 Br 중간체가 아랫쪽으로 치환된 후 고리열림반응을 통해 생성된다.
정답 2번
문제 6 번

B : Diels alder 반응 후에도 Alkene 말단이 남아있기 위해서는 diene 형태의 물질이 필요하다.
D : 과산화산은 전자주개가 많고 입체장애가 적은 말단 Alkene쪽에 반응한다.
정답 5번
문제 7 번

1) Friedel-Crafts 반응은 EDG의 o,p-, EWG의 m-위치에 형성되므로 2번자리에 Br치환되는 것이 옳다. (X)
2) SNAr 반응은 Halogen(주로 F, Cl)의 o, p-자리에 EWG가 있어야 반응이 잘 일어나므로 4번 위치의 F-작용기와 치환된다. (X)
3) Fused ring의 경우도 전자가 풍부한 Ring과 반응하므로 Pyrrole부분쪽에 3번위치에 치환되는 것이 옳다. (X)
4) N-amide는 Methyl보다 강한 EDG로 o,p-위치에 EAS반응이 일어난다. (O)
5) 분자내 고리화 반응은 Naphthyl기의 1,2번에 접합된 구조로 치환된다. (X)
정답 4번
문제 8번

주어진 시작물질에서 Alkene을 Aldehyde로 전환 후 Alcohol로 바꾼다. 그 후에 이탈기와 염기를 처리하면 입체배열을 유지하면서 di-ol을 ether로 바꿀 수 있다.
정답 3번
문제 9번

1) 산-촉매 SN1 반응이므로 변경이 불가능하다. (X)
2) 밀도는 1보다 작으므로 위층은 유기층이다. (X)
3) 남아있는 HCl과 반응하여 CO2 기체가 생성된다. (O)
4) B는 수소결합할 수 있는 OH가 없으므로 끓는점이 더 낮다. (X)
5) 수득률은 몰 기준 계산으로 75%이다. (X)
정답 3번
문제 10번

ㄱ. Ketone환원 반응으로 옳은 명명이다. (O)
ㄴ. SN2 반응으로 고리열림을 통해 생성된 화합물의 옳은 명명은 hept-1-en-6-yn-4-ol이다. (X)
ㄷ. Pd(0) 환원반응을 통해 생성된 명명은 (S)이므로 옳은 명명이다. (O)
정답 5번
문제 11번

ㄱ, ㄴ, ㄷ 모두 주어진 구조와 동일한 화합물이다.
정답 7번
문제 12번

ㄱ. B(pyrazole)의 염기도는 비공유 전자쌍을 가지고 있으므로 A보다 더 크다. EWG에 의한 유도효과로 공명에 참여하는 질소의 염기도 또한 크다. (O)
ㄴ. D 헤테로원소는 공명에 참여하므로 sp2 혼성화를 보인다. (X)
ㄷ. A, B, D로 총 3가지 화합물이다. (X)
정답 1번
문제 13번

ㄱ. Indene 구조는 환원되어 up구조가 major인 주 생성물이고 대칭축이 있는 Meso이다. (O)
ㄴ. Chiral center 가 존재하는 epoxide가 생성된다. 시작 물질이 Cis alkene일 경우 Meso 화합물이 생성된다. (X)
ㄷ. Alkene이 환원되어 대칭축을 갖는 Meso 화합물이 생성된다. (O)
정답 5번
문제 14 번

ㄱ. cyclopropane을 만드는 Zn-Cu complex 시약은 C+ synthon이고 Alkene은 C- synthon이므로 EDG alkene에 우선적으로 반응한다. (X)
ㄴ. mCPBA는 E+ synthon이므로 전자가 풍부한 3치환 Alkene에 치환되므로 옳다. (O)
ㄷ. 9-BBN은 입체장애가 큰 Borane으로 Anti-markovnikov로 치환될 뿐 아니라 덜 가리워진 Alkene을 우선적으로 반응하므로 말단 Alkene에 1차 알코올이 형성된다. (X)
정답 2번
문제 15번


ㄱ. B, E는 기하이성질체이다. (O)
ㄴ. A, D는 서로 부분입체 이성질체 관계이다. (O)
ㄷ. C, F는 동일한 화합물이다. (O)
정답 7번
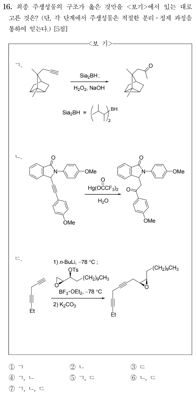
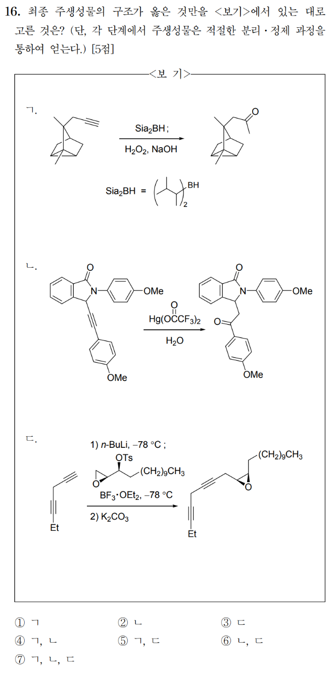
문제 16번

ㄱ. anti-Markovnikov rule로 첨가되므로 말단위치에 Aldehyde가 형성되는 반응이 일어난다. (X)
ㄴ. 옥시수은화 반응은 Markovnikov rule로 첨가되어 Benzoyl group이 생성된다. (O)
ㄷ. n-BuLi로 인한 alkyne은 SN2 반응으로 Epoxide 고리열림 후 생성된 OH가 다시 OTs를 이용해 Epoxide를 생성하는 반응이 일어난다. (O)
정답 6번
문제 17번

ㄱ. Alkyne의 HX 첨가반응은 Markovnikov 규칙으로 첨가되므로 2-Bromo 화합물이 생성되는 것이 옳다. (X)
ㄴ. E2반응으로 생성된 Alkene의 allyl자리 라디칼 치환 반응으로 생성된 화합물이 옳다. (O)
ㄷ. Iodonium 중간체가 생성된 후 Carboxyl group이 SN2 반응을 통해 제시된 옳은 반응이 생성된다. (O)
정답 6번
문제 18번

ㄱ. Anhydrous의 Friedel-Crafts reaction으로 제시된 옳은 반응이 주 생성물이다. Ring strain으로 Methoxy의 o-위치에 치환될 수 없다. (O)
ㄴ. Furan의 Friedel-Crafts Acylation은 2번 위치에 치환되어 Fused ring을 형성한다. (X)
ㄷ. Acid-based EAS 반응은 탄소 중간체가 안정한 3차 양이온을 경유하는 반응으로 일어난다. (X)

정답 1번
문제 19번

ㄱ. Benzyl bromide 보호기를 다는 반응은 더 강산인 Phenol의 산성수소를 선택적으로 뗄 수 있으므로 제시된 반응이 옳다. (O)
ㄴ. 아래와 같은 반응으로 생성되어 옳은 화합물을 나타낸다. (O)

ㄷ. 입체장애가 가장 작은 1차 알코올에 Ts작용기가 치환되고, up인 상태의 Alcohol이 Epoxide를 만드므로 생성된 Epoxide는 up배향이어야 옳다. (X)
정답 4번
문제 20번

ㄱ. C, D는 한 부분의 카이랄 중심만 다르므로 부분입체 이성질체 관계이다.
ㄴ. SN1 메커니즘으로 생성되어 생성비율이 1:1에 가깝게 나타난다. (O)
ㄷ. OMe의 internal hydrogen interaction으로 E의 중간체를 주로 경유한다. (O)
정답 4번
'일상 이야기 > Chemistry' 카테고리의 다른 글
| [8] 2022 PEET 문제와 해설 - 생각하는 유기화학 (0) | 2022.08.29 |
|---|---|
| [7] 2021 PEET 문제와 해설 - 생각하는 유기화학 (0) | 2022.08.29 |
| [5] 2019 PEET 문제와 해설 - 생각하는 유기화학 (0) | 2022.08.29 |
| [4] 2018 PEET 문제와 해설 - 생각하는 유기화학 (0) | 2022.08.29 |
| [3] 2017 PEET 문제와 해설 - 생각하는 유기화학 (0) | 2022.08.29 |
댓글
이 글 공유하기
다른 글
-
[8] 2022 PEET 문제와 해설 - 생각하는 유기화학
[8] 2022 PEET 문제와 해설 - 생각하는 유기화학
2022.08.29 -
[7] 2021 PEET 문제와 해설 - 생각하는 유기화학
[7] 2021 PEET 문제와 해설 - 생각하는 유기화학
2022.08.29 -
[5] 2019 PEET 문제와 해설 - 생각하는 유기화학
[5] 2019 PEET 문제와 해설 - 생각하는 유기화학
2022.08.29 -
[4] 2018 PEET 문제와 해설 - 생각하는 유기화학
[4] 2018 PEET 문제와 해설 - 생각하는 유기화학
2022.08.29