[4] 2018 PEET 문제와 해설 - 생각하는 유기화학
2018년도 PEET 문제와 해설
문제와 해설을 비롯한 추가적인 내용은 아래의 책(e-book)에서 확인할 수 있습니다.
[4] 📕 생각하는 유기화학
요약 정보 출판일 2022.05.27 출판사 유페이퍼 저자 아나팜(구형모) ISBN 9791192477251 구매링크 링크 책 소개 이 책은 2015년도 이후부터 2022년도 현재까지의 약학교육입문자격시험(PEET, 피트) 유기화학
anapharm.co.kr
생각하는 유기화학
이 책은 2015년도 이후부터 2022년도 현재까지의 약학교육입문자격시험(PEET, 피트) 유기화학 문항과 해설을 수록하였다. 이 문제들은 단순히 약학대학을 준비하는 수험생뿐 아니라 유기화학 과목
digital.kyobobook.co.kr
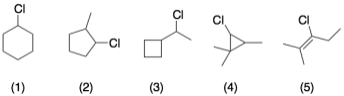
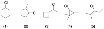
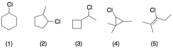
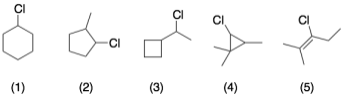
문제 1번


위와 같은 화합물로 모두 C6H11Cl의 구조이성질체이지만, (4) 화합물의 경우 Chloro-와 Methyl- 가 포함된 모체의 우선순위가 없기 때문에 2-Chloro-1,1,3-trimethylcyclopropane이라고 해야 옳다.
정답 4번
문제 2번

1) 왼쪽 화합물은 수소가 떨어져나가면 Anti-aromatic 성질을 띄고 오른쪽 화합물은 Aromatic 성질을 띄기 때문에 오른쪽 화합물이 더 강산이라 pKa값이 작다. (X)
2) Cyclopentane은 Cyclohexane에 비해 약간의 Ring strain이 있으므로 CH2당 불안정도가 더 크기 때문에 CH2당 연소열도 크다. (X)
3) 결합 해리에너지는 균일분해 되었을 때 생성되는 라디칼의 안정도로 비교할 수 있는데 왼쪽 화합물은 0차 탄소 라디칼이 생성되고, 오른쪽 화합물은 3차 탄소 라디칼이 생성되므로 오른쪽 화합물의 결합해리에너지가 더 작다. (X)
4) 알코올 화합물의 끓는점은 아민 화합물의 끓는점보다 높은데 그 이유는 O보다 N이 전기음성도가 크고, 단위분자당 수소결합 받개의 역할을 더 많이 하기 때문이다. (X)
5) O가 포함된 dioxane의 경우, O의 자리에는 CH탄소가 없기 때문에 1,3-gauche 상호작용이 존재하지 않게 된다. 따라서 오른쪽 화합물이 왼쪽 화합물보다 더 안정하다. (O)
정답 5번
문제 3번

A : Chiral center가 두 개이고 Meso compound가 한 개 있으므로, 총 입체이성질체의 개수는 2^(2) - 1=3개이다.
B : Chiral center가 세 개이고 Meso compound가 두 개, 아래의 4가지 가능성 중 첫 번째/네 번째 – 두 번째/세 번째는 같은 화합물이므로 2^(3) – 2 - 2 =4개이다.

정답 2번
문제 4번

A, B 화합물을 다음과 같이 돌려서 풀면 간단하게 풀 수 있다.

A는 1, 2, 3 / B는 2, 4 의 화합물이기 때문에 정답은 2번이다.
정답 2번
문제 5번

1) E2 제거반응에서 할로겐 이탈기가 Axial에 있는 화합물이 반응속도가 더 빠르다. (O)
2) E2 제거반응에서 중수소 동위원소 효과에 의해 중수소가 수소에 비해 반응속도가 더 느리다. (O)
3) Polar protic solvent의 SN2반응에서 최외각 전자의 주 양자수가 큰 Se가 더 반응속도가 크다. (O)
4) SN2반응에서 tert-Butyl기의 입체장애가 크기 때문에 왼쪽 화합물의 반응속도가 빠르다. (X)
5) SN2반응에서 Polar protic 용매보다 Polar aprotic solvent의 반응속도가 더 빠르다. (O)
정답 4번
문제 6번

A는 아래와 같은 반응으로 진행된다

B는 아래와 같은 반응으로 진행된다.

C가 O에 비해 친핵성도가 크기 때문에 O가 공격하지 않고 C가 공격한다.
정답 2번
문제 7번

A : 아래와 같은 반응을 경유하는 반응이 일어난다.

B : 아래와 같은 반응을 경유하는 반응이 일어난다.

왼쪽 이중결합에만 선택적으로 가오존 분해반응이 일어나는 이유는 MeO-에 의해 전자가 더 풍부하기 때문이다.
정답 1번
문제 8번

A : 다음과 같은 반응이 일어나며, 두 OH의 작용기의 pKa차가 크지 않기 때문에 둘 중 더 입체장애가 적은 쪽이 TsCl을 공격한다.

B : bridged ring보다 fused ring이 ringstrain이 작으므로 두 –OH중에 한 작용기만 선택적으로 반응이 일어난다.

정답 3번
문제 9번

A : 다음과 같이 Baldwin`s Rule에 의해 5각 고리가 만들어진다.

B : 다음과 같이 산 조건하에서 SN1 유사 에폭사이드 고리열림반응이 일어난다. 6각고리를 만드는 반응이 알릴기의 하이퍼컨쥬게이션을 경유하므로 전이상태가 안정하다.

정답 3번
문제 10번

ㄱ. 왼쪽 화합물에 비해 오른쪽 화합물이 공명으로 인한 탄소양이온이 안정하기 때문에(1차 Allyl < 3차 Allyl) 옳은 비교이다. (O)
ㄴ. SO3가 달린 작용기는 좋은 이탈기이므로, 화합물이 분해되는 과정에서 이웃 산소에 작용을 해 고리 화합물을 만든다. 왼쪽 화합물이 오른쪽 화합물에 비해 고리 크기가 작아 Ring strain이 크므로 반응속도는 오른쪽 화합물이 크다. 옳은 비교이다. (O)
ㄷ. 왼쪽 화합물의 경우 아래와 같이 분자 내 고리형성을 통해 Cl이 잘 이탈되지만, 오른쪽 화합물의 경우 왼쪽 화합물과 달리, Gauche위치에 황이 존재하고 있어 SN1반응이 왼쪽화합물에 비해 느리다. (X)

정답 4번
문제 11번

ㄱ. 입체장애가 적은 para 위치에 치환되는 옳은 반응이다. (O)
ㄴ. meta 자리에 치환되는 것은 맞지만 공명중간체 구조가 옳지 않다. 아래와 같은 구조가 올바른 표현이다. (X)

ㄷ. ortho, para 위치에 EWG가 있는 SNAr 반응으로 옳다. (O)
정답 5번
문제 12번

ㄱ. 2치환과 3치환의 전자풍부도 비교보다, 입체장애가 금속촉매 환원반응에 대해 주요 결정 인자이기 때문에 2치환 알켄이 환원된다. (O)
ㄴ. 입체배열은 (S),(S),(R)이다. (X)
ㄷ. 불포화도는 A=3, B=2로 다르다. (X)
정답 1번
문제 13번

ㄱ. A와 C는 구성원소가 다르기 때문에 다른 화합물이지 구조이성질체가 아니다. (X)
ㄴ. B는 Chiral center가 있지만 대칭면이 존재하는 Meso 화합물이다. (O)
ㄷ. B와 D는 서로 일부의 입체배열이 다른 부분입체이성질체 관계이다. (O)
정답 6번
문제 14번

Syn elimination이 되기 위해서는 그림과 같이 –OH와 –H가 같은 평면상에 존재해야 한다.
ㄱ. -OH기와 –Me기가 같은 평면상에 있다. (X)
ㄴ. -OH기와 –Ph기가 같은 평면상에 있다. (X)
ㄷ. -OH기와 –H기가 같은 평면상에 있다. (O)
정답 3번
문제 15번

ㄱ. Benzyne은 3중결합을 가지고 있지만 sp2-sp2 오비탈 중첩으로 이루어져 있다. (O)
ㄴ. Benzyne의 경우 Dienophile로, Furan은 Diene으로 작용하여 Diels-Alder반응이 잘 일어난다. (O)
ㄷ. CF3와 같은 EWG나 전기음성도가 큰 Hetero원자를 가진 Methoxy기 모두 중간체의 비공유전자쌍이 가까울수록 안정하기 때문에 D 화합물이 C화합물에 비해 더 많이 생성된다. (O)
정답 7번
문제 16번

ㄱ. LiAlH4는 Lactone ring을 diol로 바꾸기 때문에 틀린 선지이다. 올바른 화합물은 아래와 같다. (X)

ㄴ. 아래와 같은 반응이 진행되므로 제시된 생성물은 옳지 않다.(X)

ㄷ. 아래와 같은 반응으로 생성되며, 두 알켄 중 전자가 풍부한 삼치환 알켄에 mCPBA가 반응한다. (O)

정답 3번
문제 17번

ㄱ. H2/Pd가 위에서 공격하는 것이 더 입체장애가 작기 때문에 올바른 생성물이다. (O)
ㄴ. NaBH4가 아래에서 공격하는 것이 더 입체장애가 작기 때문에 틀린 생성물이다. 올바른 생성물은 아래와 같다. (X)

ㄷ. all-Trans steroid 환 구조에서 입체장애가 적고 Equatorial에 OH가 존재하는 것이 안정한 화합물이므로 옳은 반응이다. (O)
정답 5번
문제 18번

ㄱ. SNAr반응은 EWG가 있는 오른쪽 고리에 들어가야 맞으므로 옳은 반응이다. (O)
ㄴ. Br의 EAS반응은 전자고리가 풍부한 Benzofuran 고리에 들어가야 하므로 틀린 반응이다. 아래와 같은 화합물이 옳은 주 생성물이다. (X)

ㄷ. 전자고리가 풍부한 Anisol(Metoxybenzene)에 Friedel-Crafts Acylation되고 환원되는 틀린 반응이다. (X)

정답 1번
문제 19번

ㄱ. 다음과 같이 반응이 진행되므로 틀린 선지이다.(X)

ㄴ. 다음과 같은 반응으로 진행되므로 옳은 설명이다. (O)

ㄷ. 다음과 같은 반응으로 진행되므로 옳은 설명이다. (O)

정답 6번
문제 20번

ㄱ. EAS반응이므로 옳은 설명이다. (O)
ㄴ. 생성물 중 주 생성물을 끓는점 차이로 판단할 수 있는 실험기구는 C이다. D는 응축기로, 반응온도가 용매의 끓는점보다 높아 용매를 유지할 때 사용한다. (O)
ㄷ. 첫 번째 분획은 끓는점이 낮은 물질이 먼저 추출되는데, 2-Nitrophenol은 4-Nitrophenol에 비해 분자 내 수소결합을 하고 있기 때문에 분자 간 수소결합이 작아 끓는점이 낮다. (O)
정답 7번
'일상 이야기 > Chemistry' 카테고리의 다른 글
| [6] 2020 PEET 문제와 해설 - 생각하는 유기화학 (0) | 2022.08.29 | 
|---|---|
| [5] 2019 PEET 문제와 해설 - 생각하는 유기화학 (0) | 2022.08.29 | 
| [3] 2017 PEET 문제와 해설 - 생각하는 유기화학 (0) | 2022.08.29 | 
| [2] 2016 PEET 문제와 해설 - 생각하는 유기화학 (0) | 2022.08.29 | 
| [1] 2015 PEET 문제와 해설 - 생각하는 유기화학 (0) | 2022.08.29 | 
댓글
이 글 공유하기
다른 글
- 
[6] 2020 PEET 문제와 해설 - 생각하는 유기화학
[6] 2020 PEET 문제와 해설 - 생각하는 유기화학
2022.08.29 - 
[5] 2019 PEET 문제와 해설 - 생각하는 유기화학
[5] 2019 PEET 문제와 해설 - 생각하는 유기화학
2022.08.29 - 
[3] 2017 PEET 문제와 해설 - 생각하는 유기화학
[3] 2017 PEET 문제와 해설 - 생각하는 유기화학
2022.08.29 - 
[2] 2016 PEET 문제와 해설 - 생각하는 유기화학
[2] 2016 PEET 문제와 해설 - 생각하는 유기화학
2022.08.29