[3] 2017 PEET 문제와 해설 - 생각하는 유기화학
2017년도 PEET 문제와 해설
문제와 해설을 비롯한 추가적인 내용은 아래의 책(e-book)에서 확인할 수 있습니다.
[4] 📕 생각하는 유기화학
요약 정보 출판일 2022.05.27 출판사 유페이퍼 저자 아나팜(구형모) ISBN 9791192477251 구매링크 링크 책 소개 이 책은 2015년도 이후부터 2022년도 현재까지의 약학교육입문자격시험(PEET, 피트) 유기화학
anapharm.co.kr
생각하는 유기화학
이 책은 2015년도 이후부터 2022년도 현재까지의 약학교육입문자격시험(PEET, 피트) 유기화학 문항과 해설을 수록하였다. 이 문제들은 단순히 약학대학을 준비하는 수험생뿐 아니라 유기화학 과목
digital.kyobobook.co.kr
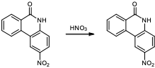
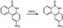
문제 1번

1) 알파벳 순서대로 작용기를 나타냈으므로 옳다. (O)
2) Hydroxyl기가 포함된 이중/삼중 결합탄소가 모체이다. (O)
3) R/S표현과 작용기 명명이 모두 옳다. (O)

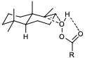
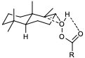
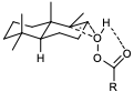
4) 1,7,7-Trimethylbicyclo[2.2.1]heptane이 옳다. 아래 그림처럼 적은 수의 고리가 가장 큰 숫자가 되고 다리목탄소가 1번이 된다. (O)
5) 모체를 정하면 작용기의 우선순위를 따지지 않으므로 알파벳 순서가 장은 쪽인 1-Bromo-2-Chloro-4-Ethyl-5-Nitrobenzene이 옿다.
정답 4번
문제 2번

1) 고리스트레인 에너지는 0=6각<7각<5각<4각<3각 순서대로 커진다. (X)
2) 결합각은 메틸아민의 경우 107도 정도(sp3), 메탄올의 경우 104.5도 정도(sp3)가 된다. (X)
3) 결합 해리 에너지는 각 원자간의 전기음성도, s-character이 클수록, 결합길이가 짧을수록 커진다. Etynyl기는 spC-H결합이고 Ethyl기는 sp3C-H결합이므로 결합해리에너지는 Acetylene이 Ethane보다 크다. (X)
4) THF의 쌍극자 힘은 0보다 크지만 Ether의 쌍극자 힘은 0에 가깝다. 따라서 물에 대한 용해도는 THF가 더 크다. 실험 문항에서 자주 나오는 용매이므로 꼭 알아두도록 하자. (X)
5) 쌍극자 모멘트는 기본적으로 전기음성도 차에 기인한다. 메틸아민보다 아민의 전기음성도 차가 크므로 쌍극자 벡터합은 아민이 더 크다. (O)
정답 5번
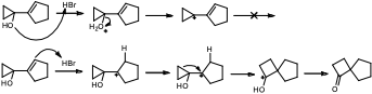
문제 3번


1)단계에서는 PhNEt2의 염기 존재 하의 SN2 반응이다. 반응물은 말단 spC-H 산성수소(pKa = 25)와 Hydroxyl기(pKa = 16)이 있는데, 산-염기 반응은 강한 산부터 반응하기 때문에 말단 탄소 음이온이 생기지 않고 Hydroxyl 음이온이 SN2반응하여 Ether가 생성된다.
2)단계에서는 n-BuLi의 강한 염기 처리로 말단 spC-H수소가 떨어져나가 탄소 음이온이 Oxirane에 SN2 반응을 진행한다.
마지막 3)단계에서는 Lindlar촉매하에서 삼중결합이 Cis 이중결합으로 환원되므로 정답은 1번이다.
정답 1번
문제 4번


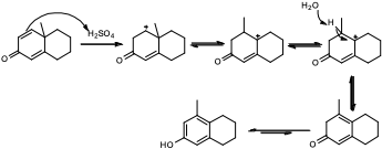
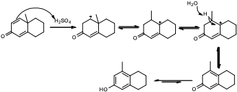
주어진 그림에서 C5(탄소 5개)가 증가한 형태이다. 문제에 주어진 조건 그대로 그리면 2번과 같은 연속 Trans 접합고리 구조가 생성됨을 쉽게 알 수 있다.
<참고> Enyne 반응은, Terpenoid계의 스테로이드 생합성과정과 유사하다. ex) Mevalonic acid Pathway->Squalene계->b-amyrin 최근 유기화학문제는 약학관련 교과과목과 직-간접적으로 연계되는 문제가 늘어나고 있다. 평소에 약학관련 배경지식을 많이 공부한다면 신 유형 문제를 대비하는데 도움이 될 것이다.
정답 2번
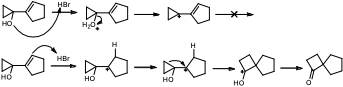
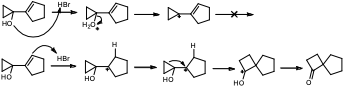
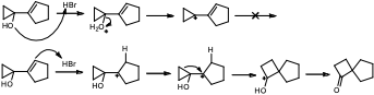
문제 5번


역 합성 과정에서는 합성 가능한 모든 출발물질을 생각할 수 있는 능력이 중요하다. 먼저 D가 생성되기 위해서는 다음과 같은 화합물이 있다.
그리고 C를 산-촉매 제거반응을 통해 D를 생성했으므로 가능한 C는 아래와 같다.

B를 환원시켜 C가 생성된 것인데, 산소의 변화는 없고 수소가 두 개 추가되었으므로 Ketone이 Alcohol이 된 것을 알 수 있다.

따라서 아래 구조는 B에서 C로 될 수 없는데 Lacton ring이 환원되면 고리가 끊어진 Diol이 생성되기 때문이다.

따라서 정상적인 6각 고리가 생성되기 위해서는 A는 아래와 같은 생성물이어야 한다.

정답 1번
문제 6번


A : 아래와 같이 탄소양이온 자리옮김 후 Keto-Enol 토토머화로 방향족 화합물이 생성된다. 이 문제도 5번문제와 같은 역합성 문제이지만, 다단계 반응이므로 제시된 화합물 중 가능한 화합물을 찾는 방식으로 문제를 풀어야 한다.
B : 아래와 같이 OTs는 평면에 배열되어있으므로 E2제거반응이 되지 않고 산-염기 반응을 통한 재배열 반응이 일어난다. 메커니즘을 생각하는 것으로는 7회 PEET에서 가장 어려운 반응이 아닐까 싶다.
시험장에서 대다수의 학생은 정확한 이유는 모르더라도 4번과 5번 중 5번이 타당하다고 생각해 5번을 선택했을 것이다.
이 또한 출제기관에서 학생들의 응용 실력을 확인하기 위해 지엽적이고 어려운 내용을 이해하고 있는 지 확인하는 것이 아니고, 주어진 조건에서 타당하고 가능성 있는 반응과정을 인지하고 이해할 수 있는 것에 중점을 둔다는 것으로 해석할 수 있겠다.

정답 5번
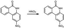
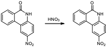
문제 7번

A : (루이스)산 촉매 하에서의 Ether 분해반응은 SN1유사반응으로 진행되므로 아래와 같은 화합물이 생성된다.

B : POCl3는 E2 반응으로 진행되므로 아래와 같은 중간체를 생성한다.

두 번째 단계에서 수소붕소 환원반응이 일어나므로 아래와 같은 화합물이 생성된다.

정답 4번
문제 8번

A : 과량의 산 조건에서는 아래와 같이 EAS 반응이 진행된다.

B : Amide에서 질소는 EDG로, 카보닐기는 EWG로 작용하므로 전자가 풍부한 질소 고리에 EAS반응이 일어난다.

A번에 excess 표현을 주의하지 않으면 “답이 없다”라고 느껴질 수 있으나 ③번이 아닌 답을 고를 수는 없다. 다시 말하면, 출제기관인 약교협에서는 지엽적이거나 혼동이 올 수 있는 개념들이 출제될 경우 학생들로 하여금 다른 요소로 충분히 그 답을 고를 수 있게 선택지를 조합하여 제시한다는 것을 의미한다. 이는 지금까지의 모든 과목의 기출문제에도 적용되는 사항이다.
정답 3번
문제 9번

ㄱ. Cyclohexane의 안정도는 의자 모양 > 꼬인 모양 > 배 모양 순이다. (O)

ㄴ. C구조에서는 결합각이 90도이지만, D 구조에서는 90도 보다 작은 88도 이다. 그러나 C는 D 구조보다 불안정한데 그 이유는 Angle Strain보다 Tosional Strain이 크기 때문에 전체적으로 D 구조가 안정하기 때문이다. (O)
ㄷ. E는 F보다 CH3-H 상호작용이 4개 적고, CH3-CH3 상호작용이 1개 많다. (X)
정답 4번
문제 10번

ㄱ. A와 C, B의 공명형태는 모두 방향족을 이루는 화합물이므로 sp2로 혼성화 되어있음을 알 수 있다. (O)
ㄴ. B의 산소원자에는 sp2오비탈에 공명에 참여하지 않는 비공유전자쌍이 존재하나, C구조에서는 비공유전자쌍이 공명에 참여하기 때문에 질소원자 자체의 sp2오비탈에는 비공유 전자쌍이 없다. (X)
ㄷ. A는 5개, B는 6개, C는 5개의 p 오비탈이 공명에 참여한다. (X)
정답 1번
문제 11번

ㄱ. Br은 수에 관계없이 라디칼 안정도에 따라 반응이 진행되고, Cl은 라디칼 안정도와 치환 수소 수에 모두 영향을 받는다. 따라서 Br 라디칼 치환반응이 흡열반응임을 모르더라도, 라디칼 안정도를 나타내는 활성화 에너지 차이 비교를 통해 (가)도표가 Br임을 알 수 있다. (O)
ㄴ. 하몬드 가설에 따르면 에너지 차이가 작을수록 닮은 전이 상태를 가짐을 알 수 있다. 따라서 발열반응이므로 전이상태의 구조는 반응물을 더 닮았다. (O)
ㄷ. (가)도표에서는 H-Br결합이 끊어지고 흡열반응이 되었고, (나)도표에서는 H-Cl결합이 끊어지고 발열반응이 되었으므로, 반응물의 상대적 에너지준위가 같으나 생성물의 에너지준위가 (나)도표가 낮다. 따라서, 결합 해리 에너지는 (나)가 더 크다. 따라서 H-Cl의 결합해리에너지가 더 크다. (O)
정답 7번
문제 12번

Equatorial과 Axial은 작용기의 모체(Cyclohexane)에 대해서 정의가 내려짐에 주의해서 비교하면 된다.

ㄱ. -Br보다 -NH2가 입체구조가 크고 원자반지름이 작기 때문에 고우시관계의 Strain이 크므로 Br이 Axial위치에 있는 아래구조가 안정하다. (O)

ㄴ. Cis-Decalin을 안정한 상태로 그리면 아래와 같다 따라서 Equatorial위치에 존재한다. (X)
ㄷ. 아래와 같이 -OAc 작용기는 Equatorial에 -H작용기는 H에 위치해 있다. 모체를 기준으로 비교하는 것이 중요하다. (O)

정답 5번
문제 13번

ㄱ. 이중결합의 위치와 Acetal 작용기의 Up-Down구조를 잘 비교해야 한다. 한 화합물을 잡고 뒤집었을 때 같은지 비교하는 것이 제일 정확한 방법이다. 따라서 180도 돌리게 되면 두 화합물은 같은 화합물임을 알 수 있다. (X)
ㄴ. 같은 방법으로 왼쪽 화합물을 위에서 아래로 180도 회전시키면 두 화합물이 겹쳐지지 않는 거울상 관계임을 알 수 있다. (O)

ㄷ. 입체로 표현된 분자는 평면구조로 바꾸어 비교해 보면 확인하기 쉬울 때가 있다. 두 화합물은 모두 아래 구조로 같은 화합물이다. (X)
정답 2번
문제 14번

N(질소)는 O(산소)보다 우선순위가 낮음에 주의하자.
ㄱ. 아래와 같은 생성물이 생성된다. 따라서 (S)형임을 알 수 있다. (X)

ㄴ. 아래와 같은 생성물이 생성된다. 따라서 (R)형임을 알 수 있다. (O)

ㄷ. 아래와 같은 생성물이 생성된다. 따라서 (S)형임을 알 수 있다. (X)

정답 2번
문제 15번

ㄱ. A는 3차 알코올임을 알 수 있다. (O)
ㄴ. B와 D는 거울상 이성질체인 화합물은 없으면 구조이성질체 혹은 부분입체 이성질체 관계이다. B가 생성되는 과정은 산-염기 반응으로 인한 Ether가 주 생성물이고, 부분적으로 E2생성물이 존재한다. EtONa보다 강한염기 혹은 Hoffmann Base를 가하면 각 생성물의 분율이 달라질 수 있다. (X)
ㄷ. 모두 (R)배열로 같은 배열이다. (O)
정답 4번
문제 16번

ㄱ. Anti-periplanar 수소는 1개이므로 4치환 Alkene이 아닌 아래와 같은 생성물이 주 생성물이다. (X)

ㄴ. Br2 첨가반응은 Markovnikov`s Rule과 유사하게 Br이 첨가되므로 Halohydrin반응이나, 제시된 두 단계 반응과 같은 반응은 탄소양이온이 안정한 곳에 치환된다. 따라서 메틸기는 Ether 바로 옆자리에 붙게 된다. (X)

ㄷ. 아래와 같은 반응으로 진행되어 옳은 생성물이 생성된다. (O)

정답 3번
문제 17번

ㄱ. Carbene 생성반응은 전자가 많고 입체무리가 적은 곳에서 일어난다. 따라서 맞는 설명이다. (O)

ㄴ. mCPBA는 입체무리가 작은 아래 쪽으로 들어가서 반응한다. (O)
ㄷ. 제거반응 후 Diels-Alder 반응이다. 아래와 같은 주 생성물이 생성된다. (X)

정답 4번
문제 18번

ㄱ. 반응이 진행되면 2당량의 Br이 o, p-자리에 치환되려 한다. 아래와 같이 A, B 두 화합물이 생성될 수 있다. 입체장애를 고려하면 A화합물이 더 안정한 것을 알 수 있고 제시된 주 생성물은 틀린 화합물이다. (X)

ㄴ. 아래와 같이 반응이 진행되는 옳은 반응이다. (O)

ㄷ. SNAr 반응으로 ortho, para자리에 EWG가 있는 -F가 친핵성 치환되는 옳은 반응이다. (O)
정답 6번
문제 19번

ㄱ. 1)단계에서 TsCl 시약은 -OH를 -OTs로 바꾸는 시약이다. 이러한 과정은 반응물이 SN2반응으로 일어나는데 친핵체의 입체장애가 작을수록 잘 일어난다. 따라서 3차 알코올보다 1차 알코올에서 OTs로의 전환이 더 자발적이다.
2)단계에서 Br 음이온이 -OTs에 SN2반응하므로 제시된 생성물은 옳다. (O)
ㄴ. 염기 하에서의 반응물이 친핵체인 SN2 반응이다. 반응물은 산성수소가 두 개 있지만, 각각의 pKa는 다르다. 카보닐기의 Meta 위치에 있는 수소는 떨어져나가게 되면 음이온이 밴젠고리 내로 공명할 수 있지만, 카보닐 산소까지 공명되지 않고 Para 위치에 있는 수소는 카보닐 산소까지 공명되므로 Para 산소에 음이온이 형성되는 것이 더 자발적이다. 따라서 제시된 생성물은 옳다. “Meta자리가 Para자리보다 카보닐기에 가까우므로 유도효과가 더 크다.” 라고 생각할 수 있지만 이는 옳지 않은 사고과정이다. 유도효과의 차이에 대한 기여도는 공명길이의 차이의 기여도보다 작기 때문이다. (O)
ㄷ. 제시된 생성물은 반응물에 제거반응이 진행된 것인데 Angle strain이 크고 반증 중간체의 안정도가 낮기 때문에 반응이 진행되지 않아 주 생성물이라 볼 수 없다. 아래와 같은 반응으로 진행된다. (X)

정답 4번
문제 20번

ㄱ. 2당량의 PhMgBr을 가했으므로 48mmol을 가해야 한다. 따라서 16.0mL를 넣어야 한다. (X)
ㄴ. Rf값은 (8-3)/(13-3)이므로 0.5가 맞다. (O)
ㄷ. TLC의 고정상은 실리카 겔이므로 친수성이다. 따라서 Rf값이 낮다면 실리카 겔에 대한 흡작력이 높다고 알 수 있다. (X)
정답 2번
'일상 이야기 > Chemistry' 카테고리의 다른 글
| [6] 2020 PEET 문제와 해설 - 생각하는 유기화학 (0) | 2022.08.29 |
|---|---|
| [5] 2019 PEET 문제와 해설 - 생각하는 유기화학 (0) | 2022.08.29 |
| [4] 2018 PEET 문제와 해설 - 생각하는 유기화학 (0) | 2022.08.29 |
| [2] 2016 PEET 문제와 해설 - 생각하는 유기화학 (0) | 2022.08.29 |
| [1] 2015 PEET 문제와 해설 - 생각하는 유기화학 (0) | 2022.08.29 |
댓글
이 글 공유하기
다른 글
-
[5] 2019 PEET 문제와 해설 - 생각하는 유기화학
[5] 2019 PEET 문제와 해설 - 생각하는 유기화학
2022.08.29 -
[4] 2018 PEET 문제와 해설 - 생각하는 유기화학
[4] 2018 PEET 문제와 해설 - 생각하는 유기화학
2022.08.29 -
[2] 2016 PEET 문제와 해설 - 생각하는 유기화학
[2] 2016 PEET 문제와 해설 - 생각하는 유기화학
2022.08.29 -
[1] 2015 PEET 문제와 해설 - 생각하는 유기화학
[1] 2015 PEET 문제와 해설 - 생각하는 유기화학
2022.08.29