글 작성자: Pharm_D
반응형

2015년도 PEET 문제와 해설

문제와 해설을 비롯한 추가적인 내용은 아래의 책(e-book)에서 확인할 수 있습니다.

📕 생각하는 유기화학

 

[4] 📕 생각하는 유기화학

요약 정보 출판일 2022.05.27 출판사 유페이퍼 저자 아나팜(구형모) ISBN 9791192477251 구매링크 링크 책 소개 이 책은 2015년도 이후부터 2022년도 현재까지의 약학교육입문자격시험(PEET, 피트) 유기화학

anapharm.co.kr

구매 링크

 

생각하는 유기화학

이 책은 2015년도 이후부터 2022년도 현재까지의 약학교육입문자격시험(PEET, 피트) 유기화학 문항과 해설을 수록하였다. 이 문제들은 단순히 약학대학을 준비하는 수험생뿐 아니라 유기화학 과목

digital.kyobobook.co.kr

구매 링크

문제 1번

나머지는 다 옳은 명명법이다. 1번은 이중결합과 삼중결합의 우선순위를 묻는 문제인데, 이중결합의 우선순위가 더 높기 때문에 1,4,6-triene이 모체가 되어야 한다.

 

정답 1번
 
 

 

문제 2번

ㄱ. 이중결합 1개, 고리 4개 이므로 불포화도는 5이다. (X)

 

ㄴ. 4차 탄소는 4개의 결합이 모두 탄소로 이루어진 중심탄소를 말한다. 4치환 탄소는 3개 존재하지만 4차 탄소는 존재하지 않는다. (X)

 

ㄷ. 별표 중심으로 봤을 때, 작용기의 우선순위는 Hydroxy기가 3번, 왼쪽 산소가 2번, 오른쪽 산소가 1번이므로 탄소의 절대배열은 (S)이다. (O)

 

정답 2번

 

 

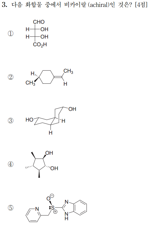
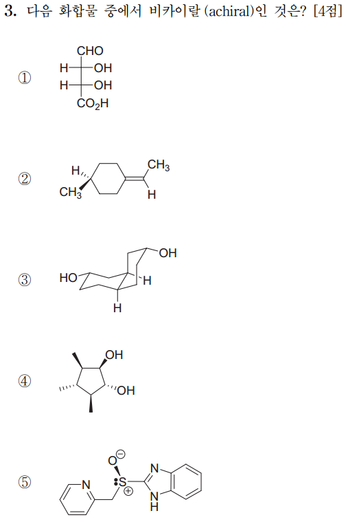
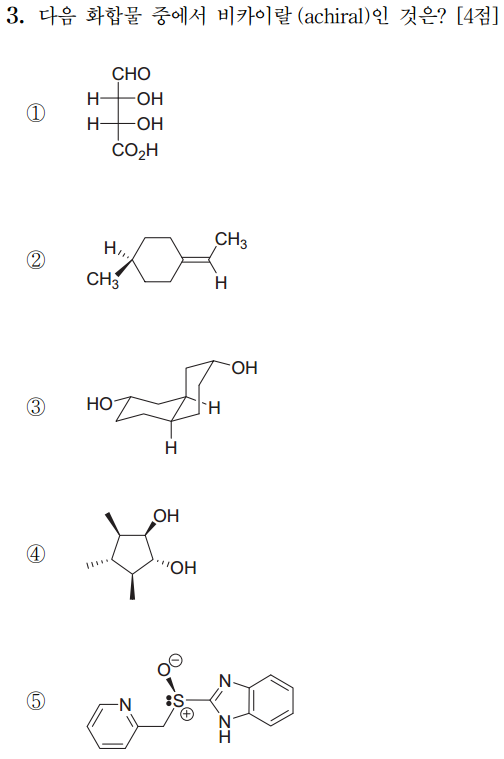
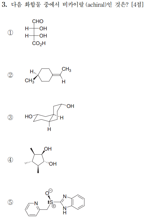
문제 3번

1) 두 개의 탄소에 각각 입체중심이 있으므로 Chiral이다.(O)
2) Chiral 탄소는 존재하지 않지만 거울상을 그려봤을 때 겹쳐지지 않으므로 광학이성질체가 존재한다. (O)
3) 평면형태로 그려보면 Cis-Decalin 형태이므로 Meso 화합물이라 비카이랄(Achiral)이다. (X)
4) 대칭면이 존재하지 않는 카이랄 화합물이므로 카이랄하다. (O)
5) 황 원소가 입체중심을 가지고 있으므로 Chiral하다 이 구조의 절대배열은 (R)이다. (O)

 

정답 3번

 

문제 4번

ㄱ. 메틸기가 up되어 있고, 3개의 H가 Down되어있으므로 옳은 형태이다. (O)

 

ㄴ. 메틸기가 up되어 있고, 2개의 H가 up, 1개의 H가 Down되어 있으므로 옳은 형태이다. (O)

 

ㄷ. 메틸기가 up되어 있고, 1개의 H가 up, 2개의 H가 Down되어 있으므로 옳은 형태이다. (O)

 

- 문제에 주어진 것을 토대로 고리를 그려나가면 문제를 풀기 수월하다.

 

정답 5번

 

문제 5번

ㄱ. A~D 혼합물은 각각 Chiral 탄소가 존재하고 A, D관계와 B, C관계는 서로 광학이성질체 관계이므로 Racemic mixture가 생성되어 광학활성이 없다. (X)
ㄴ. 질소가 1번, Ester기가 2번, 다리목 탄소쪽이 3번이므로 절대배열은 (R)형이 맞다. (O)
ㄷ. A, C관계와 B, D관계는 서로 광학이성질체 관계이고, A, B관계와 C, D관게는 서로 부분입체이성질체 관계이다. (O)

 

정답 4번

 

문제 6번

ㄱ. o, p-지향성 작용기-Y가 존재할 때 para위치에 NO2가 생성되는 경우 A 혹은 B 공명구조를 거친다. (O)
ㄴ. 클로로벤젠의 반응 속도가 벤젠보다 느린 이유는 Cl에 의한 공명 효과가 유발 효과보다 더 작기 때문이다. (X)
ㄷ. Cl(염소)은 3주기 원소이기 때문에 3p-Orbital을, C(탄소), O(산소)는 2주기 원소이기 때문에 2p-Orbital을 가지므로 p-p궤도함수의 overlap은 2p-3p보다 2p-2p에서 더 효과적이다. (O)

 

정답 3번

 

 

문제 7번

보기를 이용하면 5번의 화합물이 생성됨을 알 수 있다.

 

정답 5번
 

문제 8번

ㄱ. 탈수반응과 재배열을 통해 다음과 같은 화합물이 생성된다. 따라서 불포화도는 5이다. (O)

ㄴ. Diels-Alder 반응을 통해 다음과 같은 화합물이 생성된다. 따라서 불포화도는 5이다. (O)
ㄷ. Diels-Alder 반응을 통해 다음과 같은 화합물이 생성된다. 따라서 불포화도는 6이다. (X)

정답 3번

 

문제 9번

ㄱ. KOCEt3는 부피가 큰 염기이므로, Hoffmann제거반응이 일어나 methylenecyclohexane이 생성된다. 이는 2치환 알켄이다. (X)

 

ㄴ. B는 아래와 같은 화합물이다. Chiral 탄소가 존재하지 않는다. (X)

ㄷ. C가 생성되는 반응은 Cyclopropene을 생성하는 반응이다 따라서 분자식은 C8H14가 맞다. (O)

정답 2번

 

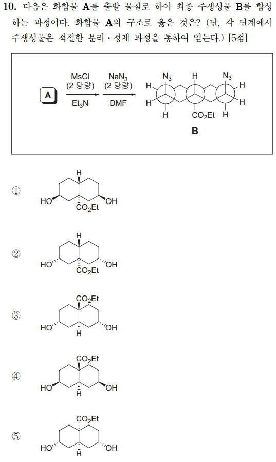
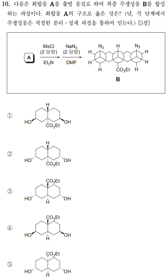
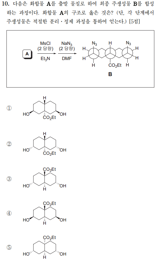
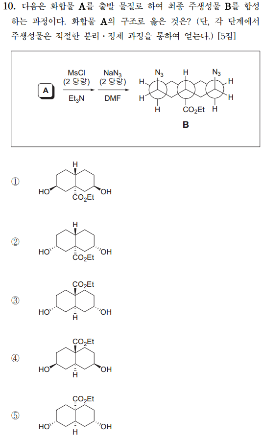
문제 10번

 

생성물 B는 아래와 같이 나타낼 수 있다. 생성물 B는 반응물 A로부터 SN2반응이 일어나 반전된 것이므로 반응물 A는 4번과 같이 Endo-형태로 되어있는 trans-decalin을 찾으면 된다.
정답 4번

 

문제 11번

1) Birch 환원반응으로 라디칼 중간체를 거친다. (O)

 

2) 고온 조건에서의 라디칼 치환 반응이다. (O)

 

3) Cumene으로부터 Phenol을 합성하는 유명한 반응의 중간단계이다. 역시 라디칼 중간체를 경유한다. (O)

 

4) ROOR인 라디칼 개시제가 포함된 라디칼 첨가 반응이다. (Anti-Markovnikov) (O)

 

5) Br+ 고리중간체를 거치는 첨가반응이다. (X)

 

정답 5번
 

문제 12번

ㄱ. 염기에 의해 Hydroxy기가 좋은 친핵체로 변하고 SN2하는 반응이다. 생성물은 문제에 제시된 Cis가 아닌 Trans-Decalin과 같은 형태가 되어야 한다. (X)

 

ㄴ. SN1 반응으로 진행되나, 아래와 같은 중간체를 경유하므로 고리 열림 반응이 진행되어 항상 trans생성물이 얻어진다. (O)

ㄷ. 분자 내 Hydroxy 기와 NBS가 작용한 Halohydrin 반응이다. Ring strain이 적은 쪽에 Ether가 생성되는 것이 보다 안정하므로 제시된 생성물은 옳은 생성물이다. (O)

 

정답 4번
 

문제 13번

 

 
A : 수소의 Up 작용기를 잘 고려해야 한다.
B : 수소의 Down 작용기를 잘 고려해야 한다.

정답 1번

 

문제 14번

A, B, C 모두 hexa-3-ol이 생성되는 반응이다.

 

A는 수소붕소화-환원반응, 토토머화 반응, 그리냐드시약 첨가반응이 진행된다.

 

B는 염기촉매 SN2반응, 옥시수은화-환원반응, 환원반응이 진행된다.

 

C는 Alkene이 생성된 후, 가오존 분해반응을 통해 알데히드가 생성되며, Grignard시약 첨가반응이 진행된다.

 

정답 1번

 

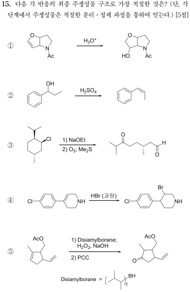
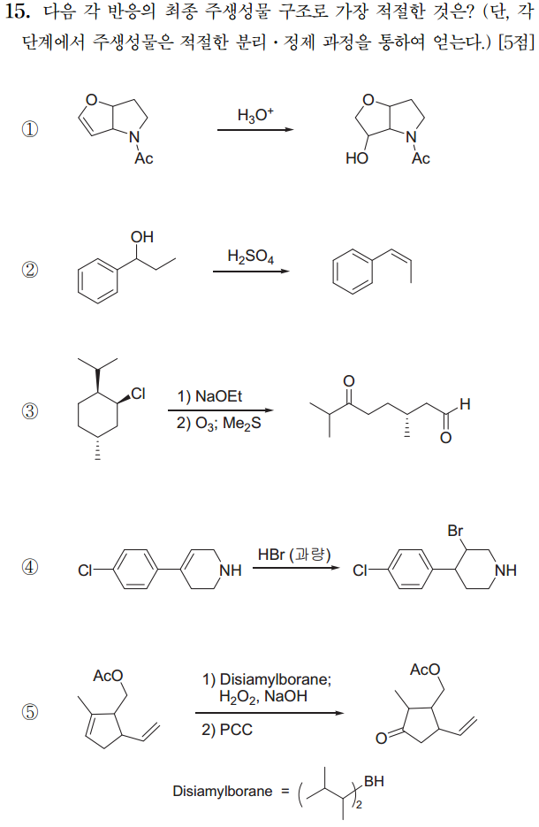
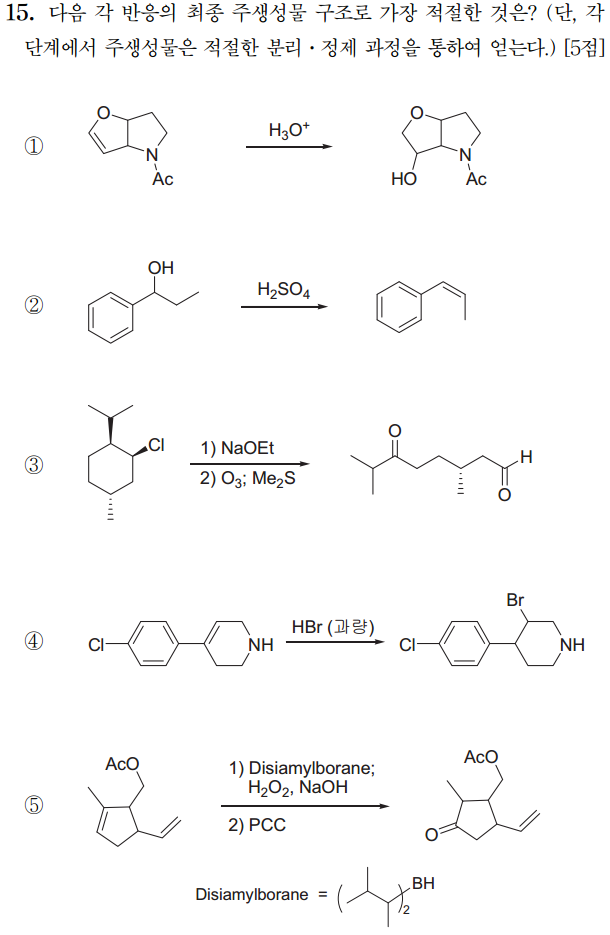
문제 15번

1) 산소 바로 옆자리가 Carbocation이 안정하므로 산소 두 칸 옆이 아닌, 한 칸 옆에 Hydroxy기가 붙어야 한다. (X)

 

2) E1 메커니즘으로 주 생성물은 열역학적으로 안정한 trans-alkene이 생성되어야 한다. (X)

 

3) anti-periplanar의 수소와 E2반응을 하여 3치환 alkene을 만들고 가오존 분해반응을 통해 올바른 생성물을 얻는다.(O)

 

4) HBr첨가반응은 Markovnikov`s Rule에 따라 Br이 3차 탄소에 붙는 것이 옳은 주 생성물이다. 과량을 사용한 이유는 HBr이 산으로 작용해 R-NH2와 산-염기 반응을 할 수 있기 때문이다. (X)

 

5) 수소붕소화-환원반응은 가장 덜 치환된 alkene에 Hydroxy기를 첨가하므로 3치환 alkene과 반응하지 않고 1치환 alkene과 반응한다. (X)

 

정답 3번

 

문제 16번

1) NaBH4시약을 사용하여 생성물 B를 얻으면 Hydroxy기가 1개만 존재한다. (X)

 

2, 3) 생성물 B 조건은 만족하지만, 과량의 MeMgBr시약을 이용하면 Meso화학물이 생성된다. (+Racemic mixture)

 

4) 생성물 B 조건도 만족하고, 과량의 MeMgBr시약을 이용해도 Meso화합물이 생성되지 않는다.

 

5) 생성물 B 조건은 만족하지만, 과량의 MeMgBr시약을 이용하면 Racemic mixture가 생성된다.

 

정답 4번

 

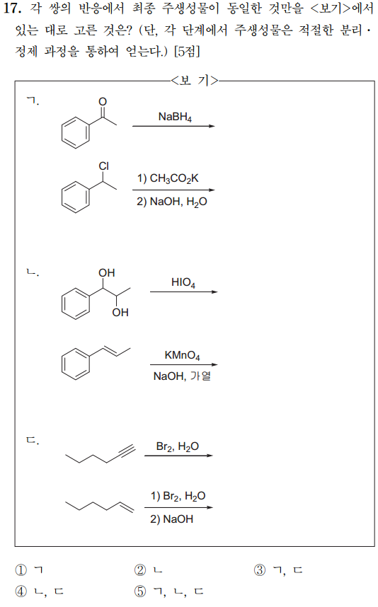
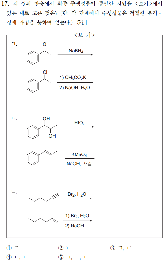
문제 17번

ㄱ. 2차 벤질 알콜이 생성되는 반응이다. 위 반응은 환원을 통해, 아래 반응은 SN2반응 후 염기촉매-Ester분해반응을 통해 동일한 생성물이 얻어진다. (O)

 

ㄴ. 위 반응은 diol을 분해해서 Aldehyde를 만드는 반응이고 아래 반응은 alkene을 Carboxylic acid로 변환하는 반응이다. 따라서 동일한 생성물을 얻는 반응이 아니다. (X)

 

ㄷ. 위 반응은 Halohydrin반응이 일어나서 1-bromohexa-2-non이 생성되는 반응이다.(추가적으로 반응해서 염기조건이라면 Epoxide를 형성할 수 있다) 아래 반응은 hexa-2-non이 생성되는 반응이다. 따라서 동일한 생성물을 얻는 반응이 아니다. (X)

 

정답 1번

 

문제 18번

ㄱ. Fridel-Crafts Acylation이 생성되는 중간체가 더 안정하기 때문에 Acylation이 일어난 화합물이 주 생성물이다. (X)

 

ㄴ. Chloro작용기보다 Methoxy기가 더 EAS반응이 잘 일어나므로 NO2는 왼쪽 벤젠고리의 ortho자리에 붙는다. (X)

 

ㄷ. SNAr이 일어나는 반응이다. 이 반응이 일어나려면 o,p-EWG가 존재해야 하는데 Hetero 원자가 이를 대신하고 있다. 따라서 오른쪽 벤젠고리에서 반응이 일어난다. (O)

 

정답 2번

 

문제 19번

ㄱ. 산-촉매 탈수반응이 일어나 Carbocation을 형성하고 EAS반응이 일어나 고리가 형성되는 반응이다. (O)

 

ㄴ. ICl은 Alkyne과 반응하여 요오드 고리중간체를 형성한다. 이 고리 중간체가 열리고 EDG가 존재하는 벤젠이 EAS반응을 통해 제시된 것과 같이 옳은 주 생성물이 얻어진다. 중간체는 다소 불안정하지만, 최종 생성물이 방향족성을 나타내므로 반응이 진행될 수 있다. (O)

 

ㄷ. t-Bu작용기는 매우 부피가 크기 때문에 ,-지향성 작용기지만, para위치에 지배적으로 EAS반응이 일어난다. 1)시약으로 para자리를 보호해 놓고, 2)시약으로 Br을 친전자성 치환 반응시킨 다음 3)시약으로 탈 보호하면 제시된 것과 같은 옳은 주 생성물이 얻어진다. (O)

 

정답 5번

 

문제 20번

1) 부분입체 이성질체관계이다. (X)

 

2) 침전물을 이용하여 수용액을 만든 것이므로 (R)형이 생성된다. (O)

 

3) CO는 염기로 사용되나, SO는 염기로 사용되지 않아 염을 복구하는데 사용할 수 없다. (X)

 

4) Ether층에 녹기 위해서는 COOH형태를 띄고 있어야 한다. 따라서 pH는 산성이어야 한다. (X)

 

5) 초과량이 80%이므로, (R)은 90%, (S)는 10%존재한다 (X)

 

정답 2번
반응형
마음약국 대표전화: 02-964-0675 Email: 0stjpharm@gmail.com 주소: 서울시 동대문구 왕산로 183