[2] 2016 PEET 문제와 해설 - 생각하는 유기화학
2016년도 PEET 문제와 해설
문제와 해설을 비롯한 추가적인 내용은 아래의 책(e-book)에서 확인할 수 있습니다.
[4] 📕 생각하는 유기화학
요약 정보 출판일 2022.05.27 출판사 유페이퍼 저자 아나팜(구형모) ISBN 9791192477251 구매링크 링크 책 소개 이 책은 2015년도 이후부터 2022년도 현재까지의 약학교육입문자격시험(PEET, 피트) 유기화학
anapharm.co.kr
생각하는 유기화학
이 책은 2015년도 이후부터 2022년도 현재까지의 약학교육입문자격시험(PEET, 피트) 유기화학 문항과 해설을 수록하였다. 이 문제들은 단순히 약학대학을 준비하는 수험생뿐 아니라 유기화학 과목
digital.kyobobook.co.kr
문제 1번

1) 모체가 탄소 7개로 가장 길고 가지 수가 많은 방향이면서 치환기의 번호가 작도록 하는 2,2-Dimethyl-4-propylheptane은 올바른 명명이다.
2) 탄소 수가 가장 많은 고리형태의 Cyclohexane이 모체이고 치환기의 우선순위는 1번 선지와 같이 알킬기로 모두 동일하므로 치환기의 번호가 작도록 하는 4-tert-Butyl-1-isobutyl-2-methylcyclohexane은 올바른 명명이다.
3) 이중결합이 포함된 고리형 alkene의 명명에서는, 이중결합에 직접 치환된 알킬기가 있다면 그 탄소를 1번으로 하여 치환기들의 번호가 작아지는 쪽으로 명명한다. 따라서 (1E,5E)-1,5,8-Trimethylcyclodeca-1,5-diene은 올바른 명명이다.
4) Decaline 유도체의 경우 접합고리의 탄소를 1번으로 하여 명명한다. 따라서, 6-Methylbicyclo[4.4.0]dec-2-ene이 올바른 명명이다.
5) Bicyclo화합물의 명명에서도 역시 접합고리의 탄소를 1번으로 하여 고리탄소수가 큰 방향에서부터 순서대로 명명한다. 따라서 6-Methylbicyclo[3.2.1]octane은 올바른 명명이다.
정답 4번
문제 2번

1) A와 B는 구조이성질체 관계이고 B는 Conjugation diene이므로 공명이 존재하여 A에 비해 안정한 상태를 나타내게 된다. Alkene, Alkyne등은 Alkane보다 불안정하기 때문에 A, B가 수소화 반응이 일어나게 되면 같은 Alkane으로 발열반응이 일어나게 된다. A의 에너지 준위가 B의 에너지 준위보다 높기 때문에(불안정) 발열반응의 에너지 크기인 H의 값은 A가 더 크다.
2) A의 pKa값은 Allyl자리가 두 개 존재하는 수소이므로 pKa= 45보다 다소 낮은 값을 나타내고 D의 pKa값은 Alkyne의 수소로 pKa=25의 값을 나타낸다. 따라서 D의 pKa가 더 낮다.
3) B는 2치환 Diene이고 C는 3치환 Diene이다. 분자간의 상호작용이 클수록 끓는점이 높은데, B의 경우 선형구조로 쉽게 분자 간 packing될 수 있는 반면, C의 경우 3치환 메틸기로 인해 입체장애가 존재해서 분자 간 packing되기가 힘들다. 따라서 B의 끓는점이 더 높다.
4) D는 sp혼성화 탄소는 2개 존재하고 E는 sp혼성화 탄소가 1개 존재하므로 동일하지 않다.
5) E는 Allene화합물로 Chiral carbon은 존재하지 않지만, Chiral한 화합물이다. 유사한 특성을 가진 물질로 BINOL등이 있다.

정답 2번
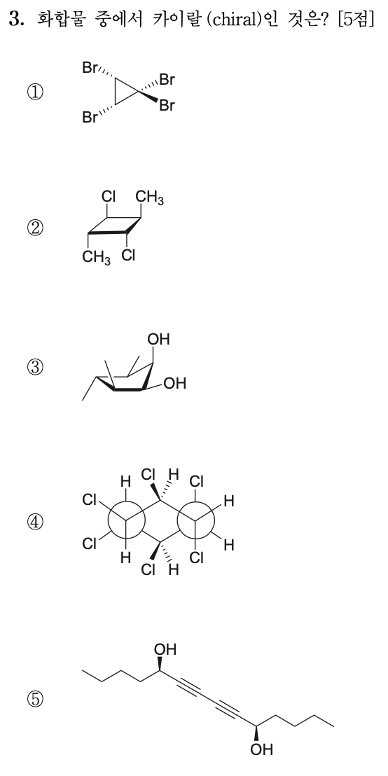
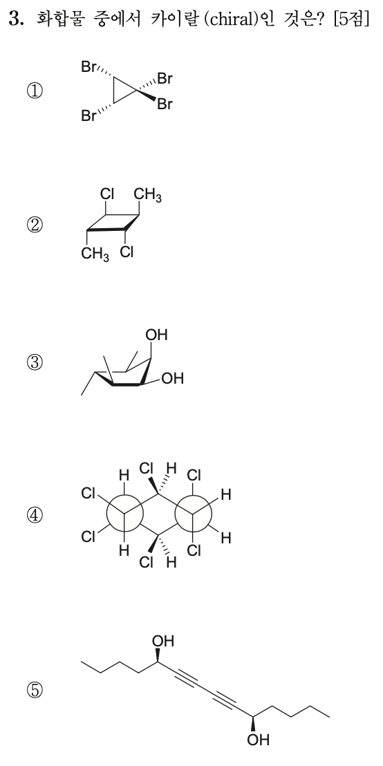
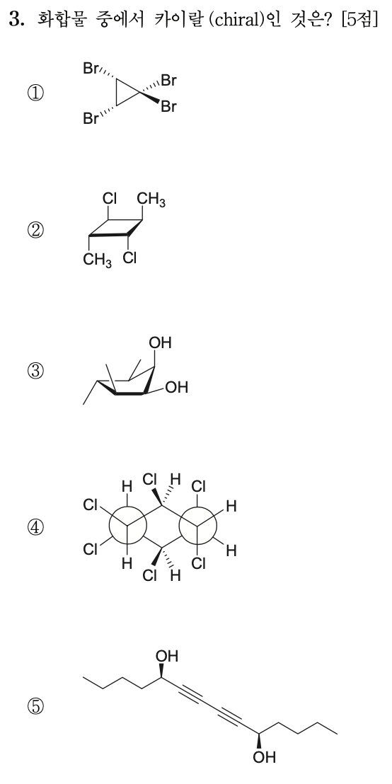
문제 3번

1) Chiral 탄소가 2개 존재하나 대칭면이 존재하는 Meso 화합물이므로 Chiral하지 않다.
2) Chiral 탄소가 존재하지 않는 화합물이다.
3) Chiral 탄소가 4개 존재하나 대칭면이 존재하는 Meso 화합물이므로 Chiral하지 않다.
4) Chiral 탄소가 존재하지 않는 화합물이다.
5) Chiral 탄소가 2개 존재하고 대칭면이 존재하지 않는 Chiral 화합물이다.
정답 5번
문제 4번

1) Csp2-Csp2 의 단일결합길이가 Csp-Csp의 단일결합길이가 보다 더 길다.
2) 두 화합물은 S-character차이가 존재하기 때문에 Csp2와 Cl간의 전기음성도 차이보다 Cp3와 Cl간의 전기음성도 차이가 더 크디. 따라서 쌍극자 모멘트의 크기는 Chloroethane이 더 크다.
3) 공명구조를 나타내는 왼쪽 Pyrrole화합물은 평면구조를 나타내기 때문에 평면구조가 아닌 Pyrrolidine 오른쪽 화합물보다 Pyrrole이 분자 간 Packing이 잘 되어 끓는점이 더 높다.
4) 염기성도가 크기 위해서는 질소의 비공유전자쌍이 편재화(localizing)되어 있어야 한다. 오른쪽 화합물인 N,N-dimethylaniline은 질소의 비공유전자쌍이 벤젠고리로 비편재화(delocalized)되어있으므로 비공유전자쌍의 염기성 역할이 줄어들게 된다 따라서 염기도는 왼쪽 화합물이 더 크다.
5) 화합물의 산도는 짝 이온의 안정도가 클수록 크다. 왼쪽 화합물의 경우
화합물 전체가 14e-을 가지는 방향족성을 나타내고, 오른쪽 화합물의 경우 2개의 Benzyl자리 음이온이 형성되므로 화합물 전체에 전자가 넓게 퍼진 왼쪽 화합물의 산도가 더 크다.
정답 2번
문제 5번

Cope Rearrangement는 고리협동반응으로 PEET출제 범위를 벗어나는 부분이나 위 문제는 주어진 자료를 이용해서 해석하는 문항으로 <예시>의 입체구조를 이용하면 어렵지 않게 답을 찾을 수 있다.

정답 5번
문제 6번

과년도 PEET기출문제를 보면, Alkyne의 Na/NH3을 이용한 Reduction에 대해 많이 출제된 것을 볼 수 있다. 이번 문제에서는 EDG가 포함된 Benzene의 Birch Reduction으로 반응 메커니즘에 따른 중간물질이 EDG작용기에 직접 전자가 있지 않은 <1>번 중간체가 <2>번 중간체보다 더 안정하다.

두 번째 반응은 1-Methoxynaphthalene의 EAS반응으로 2번 위치보다 공명구조가 더 안정한 4번 위치에 Br이 치환하는 방향으로 반응이 일어나게 된다.
정답 4번
문제 7번



A가 생성되는 첫 번째 반응에서 I2시약으로 다음과 같은 두 가지 중간체가 생성될 수 있다. <1>번이 생성되지 않는 이유는 I2가 전자가 풍부한 Alkene으로부터 전자를 받기 때문에 <2>번이 생성이 된다.
또한 반응물은 <3>번과 같은 입체화학을 띄고 있으므로 <2>번과 같은 중간체가 생성된 후 NaHCO3-의 염기로 인해 Carboxylic acid가 친핵성 고리열림반응이 진행되어 <4>번과 같은 화합물이 생성된다. B가 생성되는 반응의 경우, <4>번 화합물에서 Hoffmann Elimination이 일어나 보다 덜 치환된 생성물이 주 생성물로 된다. Hoffmann Elimination의 경우 tBuO, DBN, DBU, Ag2O와 같은 시약을 이용하기도 한다.
정답 1번
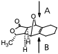
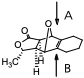
문제 8번

A반응은 루이스 산 촉매인 BF존재 하에서 Diels-Alder 반응이다. 루이스 산과 같은 촉매를 이용하면 0도 이하에서도 Diels-Alder반응을 일어나게 할 수 있는데 이는 endo-product가 생기는 조건과 같아 Cis-Decaline 유도체가 형성됨을 알 수 있다.

B반응은 Ethynyl anione의 친핵성 Epoxide고리열림 반응을 진행하여 입체장애가 적은 부분으로 치환반응이 진행되어 주 생성물로 얻어진다

.
정답 3번
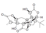
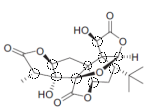
문제 9번

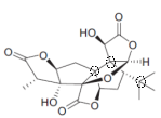
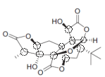
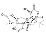
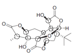
ㄱ. 아래 그림과 같이 4차 탄소는 총 3개이다.

ㄴ. 아래 그림과 같이 Chiral Center는 총 10개이다.

ㄷ. 50% ee를 가진 ginkgolide A의 경우, 관측된 광 회전도는 -26.7도 이다.
정답 2번
문제 10번

ㄱ. 녹는점은 동일한 작용기를 가진 구조이성질체 중 구형대칭에 가까울수록 더 높다. 따라서 왼쪽인 Octane보다 2,2,3,3-tetrametylbutane인 오른쪽 화합물의 녹는점이 더 높다.
ㄴ. 다음 화합물의 에너지준위, 즉 안정도를 비교하기 위해서는 어떠한 작용기가 Gauche관계에 있는 수소와 더 많은 Hinderance를 형성하는 지 비교하면 된다.

따라서 입체장애가 적은 왼쪽 이형태체가 오른쪽에 비해 더 안정하다.
ㄷ. 왼쪽 화합물은 cis-1,4-Dichlorocyclohexane으로 쌍극자 모멘트의 합이 0보다 크지만, 오른쪽 화합물은 trans-1,4-Dichlorocyclohexane으로 쌍극자 모멘트의 합이 0이다. 따라서 왼쪽 화합물이 더 크다.
정답 1번
문제 11번

ㄱ. 우선순위를 비교해 보면 (R,R) 화합물임을 알 수 있다.
ㄴ. 우선순위를 비교해보면 다음과 같이 (2R,3S) 화합물임을 알 수 있다. (Aldehyde탄소가 1번)
ㄷ. 우선순위를 비교해보면 다음과 같이 S형태를 가지고 있는 화합물임을 알 수 있다.

정답 1번
문제 12번

ㄱ. 다음 반응음 3차 Alkylhalide로 SN1 반응으로 진행될 것이다. 그런데 다리목 탄소는 sp3형태만 주로 안정하다는 Bredt`s Rule에 따르면 두 화합물 모두 반응이 정상적으로 진행되기는 힘들어 보일 수 있다. 두 화합물 중 왼쪽 화합물은 bicyclo[3.2.2] 화합물이고 오른쪽 화합물은 bicyclo[3.3.2]화합물인데, 오른쪽 화합물의 다리목 탄소는 왼쪽에 비해 Ring Strain이 적으므로 Bredt`s Rule에 덜 제한을 받음을 알 수 있다. 따라서 오른쪽 반응물의 SN1 반응속도가 왼쪽 반응물에 비해 빠르다. (O)
ㄴ. SN1 반응에서 속도결정단계는 탄소양이온의 형성과정과 관련이 있다. 따라서, TfO-(Triflate)와 NsO-(Nosylate)중 어느 화합물이 더 이탈기 능력이 좋은 지 판단할 수 있다면 반응속도의 비교가 가능하다. 이탈기 능력은 이탈기 자체의 안정성에 비례하기 때문에 TfO-와 NsO-의 안정성 비교를 통해 추론할 수 있다. 두 화합물의 안정성 비교는 산도로 비교를 할 수 있다. TfOH의 pKa는 -12정도이고, NsOH의 pKa는 TsOH와 비슷한 물성을 가진 -3정도이다. 따라서 Triflate의 이탈기 능력이 더 좋기 때문에 왼쪽 화합물의 SN1 반응속도가 오른쪽 화합물의 반응속도보다 더 크다. (X)
ㄷ. Cis-, Trans-Brosylate 유도체의 반응속도를 비교할 수 있는지 확인하는 문제이다.
오른쪽 Trans-화합물의 경우, Ester 산소의 비공유전자쌍이 Brosylate를 직접 공격하는 분자 내 SN2 반응이 일어나 아래와 같은 반응성이 큰 중간체<1>를 형성하여 반응이 일어나지만, 왼쪽 Cis-화합물의 경우 분자 내 반응이 일어나지 않고 SN1반응으로 진행하는데 아래 중간체보다 Cis-Brosylate가 더 안정한 준위에 있기 때문에 반응성이 낮아 반응속도가 더 느린 것을 알 수 있다. (O)

정답 5번
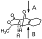
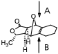
문제 13번

ㄱ. A의 불포화도는 Ester작용기와 Cyclopropane 2개 Alkene1개로 총 4이다. (X)
ㄴ. B와 C는 서로 Cyclopropane의 입체배열은 다르지만, Ester의 입체배열은 같으므로 부분입체이성질체 관계이다. (O)
ㄷ. 아래와 같이 결합탄소의 우선순위를 정할 수 있다. 우선순위를 정하는 문제가 많이 나오는데, 동일한 거리에 있는 원소 각각을 비교한다고 생각하면 보다 수월하다. (X)

정답 2번
문제 14번

ㄱ. 위에 제시된 반응처럼 A는 3차 Allylic 알코올이다. Cis, Trans 1차 Allylic 알코올일 가능성도 있으나 2차 알코올은 결코 아니다.

ㄴ. B는 Chiral Center를 가진 Epoxide이다.
ㄷ. 아래와 같이 반응이 진행되어 Allylic alcohol이 생성됨을 알 수 있다.

정답 6번
문제 15번

ㄱ. 다음은 Carbene 반응으로, Alkene이 Carbene 중간체에 전자를 잘 줄수록 반응이 잘 일어난다. 따라서 EDG인 Methyl기가 달린 Alkene에 Cyclopropane이 주로 생성된다.
ㄴ. mCPBA는 Alkene을 Epoxide로 만드는 시약으로, Alkene이 mCPBA에 전자를 잘 줄수록 반응이 잘 일어 난다. 따라서 EWG인 Ethyl Ester쪽이 아닌 EDG인 Alkyl기가 치환된 아래쪽에 Epoxide가 생성되는 것이 올바른 주 생성물이다.
ㄷ. Disamylborane은 BH와는 달리, Alkyl기가 매우 크기 때문에 입체장애의 영향을 크게 받아 입체장애의 영향을 덜 받는 아래쪽의 Alkene과 주로 반응한다. -OH는 Anti-Markovnikov`s Rule에 따라 차수가 낮은 탄소에 -OH가 첨가된다.

정답 4번
문제 16번

ㄱ. 첨가반응 시 Alkene과 Alkyne의 반응성을 비교하는 문제이다. Br2에 비해, Alkyne보다 Alkene이 전자를 더 잘 주는 성질을 갖기 때문에 제시된 주 생성물은 올바른 주 생성물이다.
ㄴ. EtMgBr은 Grignard 시약으로 주로 Carbon-Carbon bond 형성반응에 주로 쓰이지만, 산성수소가 있는 조건에서는 산-염기 반응으로 쉽게 소모된다. Vinyl-H의 pKa는 약 45, Allylic-H의 pKa는 43, Alkynyl-H의 pKa는 25로 가장 강한 산과 염기가 반응하면 아래와 같이 Alkynyl anion이 생성되는 반응이 주로 일어나기 때문에 제시된 반응은 주 생성물을 적어놓지 않았다.

ㄷ. LDA는 non-Nucleophilic Base로 제거반응만 일어나는 염기시약이다. 따라서 Propagylic anion이 생성되고 Aldehyde와 친핵성 반응이 일어나기 때문에 Pentan-2-ol-3-nyl이 생성된다.

정답 1번
문제 17번

ㄱ. 아래 그림과 같이 A방향으로 첨가반응이 일어나는 것이 B반응으로 첨가반응이 일어나는 것보다 입체장애가 작다 따라서, Anti-Markovnikov`s Rule에 의해 낮은 차수의 탄소에 -OH가 첨가되는 제시된 생성물이 옳은 주 생성물이다.

ㄴ. 아래 그림과 같이 A방향으로 첨가반응이 일어나는 것이 B반응으로 첨가반응이 일어나는 것 보다 입체장애가 작다. Epoxide에 혼동해서는 안된다. 수소와 Methyl기가 더 주요한 요인이다.

ㄷ. 아래와 같은 반응을 거처 생성된 생성물은 옳은 주생성물이다.

정답 7번
문제 18번

ㄱ. amine과 alcohol의 친핵성도를 묻는 문제이다. 질소의 전기음성도가 산소보다 낮기 때문에 질소의 비공유전자쌍이 친전자체를 공격하기 더 쉽다. 따라서 올바른 SNAr반응 메커니즘이 일어난 주 생성물이다. (O)
ㄴ. 탈수 반응을 경유한 Diels-Alder Reaction이다. A경로가 주 생성물로 생성된다. A경로가 주 생성물인 이유는 Catechol 작용기가 EDG역할을 하기 때문에 EDG를 받아주는 쪽으로 Ethyl Ester가 배열된 A의 전이상태가 안정하기 때문이다.

ㄷ. 다음과 같이 Friedel-Crafts 반응이 진행된다.

정답 5번
문제 19번

ㄱ. 산 조건에서 다음과 같이 반응하면 작용기에 따라 (1)번 반응과 (2)번 반응이 진행할 가능성이 있다. 이 반응은 SN1반응이므로, 탄소양이온 중간체가 형성되는 과정이 속도 결정단계이다. 따라서 (1)번 반응의 경우, 2차 Benzyl Carbocation이고 (2)번 반응의 경우, 2차 Carbocation으로 (1)번 반응이 주 반응이다. 또한, 반응물은 산 조건에서 Acetal 평형관계에 놓여있는데 반응이 진행되고 Acetal 평형반응도 진행하기 때문에 Catechol화합물이 생성될 가능성도 존재한다. 어느 관점에서든지 주 생성물은 제시된 생성물이 될 수 없다.

ㄴ. 다음과 같이 중간체가 3차 Carbocation으로 안정한 상태에서 불안정한 2차 Carbocation으로 진행될 수 없다. 제시된 생성물은 주 생성물이 아니고 아래 화합물이 주 생성물로 나타난다.

ㄷ. 아래와 같이 반응이 진행되고 토토머화가 일어나면 올바른 주 생성물이 얻어진다.

정답 3번
문제 20번

ㄱ. H3PO4시약으로 알코올 작용기를 가진 반응물과 반응을 시켜 탈수반응이 일어났기 때문에 반응 생성물로 물이 존재함을 알 수 있고, 분별증류장치에서도 물의 끓는점이 포함된 100~112도의 증류액을 얻었으므로 증류(혼합)액에서는 물이 존재함을 추론할 수 있다.
ㄴ. KMnO4(Mn7+-보라색)는 산화제로 산화성 작용기와 반응해서 MnO2(Mn4+-갈색)으로 됨을 알 수 있다. Alkene이 산화성 분해되어 Carbonyl 유도체가 만들어진다.
ㄷ. 제시된 한계 반응물은 2-methylcyclohexanol이기 때문에 초기 반응물(200mmol)중 150mmol의 혼합물의 수득률(75%)을 얻었고, 그 중 A만의 비율이 80%이기 때문에 주 생성물(A)의 수득률은 다음과 같이 60%임을 알 수 있다. (yield : 0.75*0.8=60%)
정답 7번
'일상 이야기 > Chemistry' 카테고리의 다른 글
| [6] 2020 PEET 문제와 해설 - 생각하는 유기화학 (0) | 2022.08.29 |
|---|---|
| [5] 2019 PEET 문제와 해설 - 생각하는 유기화학 (0) | 2022.08.29 |
| [4] 2018 PEET 문제와 해설 - 생각하는 유기화학 (0) | 2022.08.29 |
| [3] 2017 PEET 문제와 해설 - 생각하는 유기화학 (0) | 2022.08.29 |
| [1] 2015 PEET 문제와 해설 - 생각하는 유기화학 (0) | 2022.08.29 |
댓글
이 글 공유하기
다른 글
-
[5] 2019 PEET 문제와 해설 - 생각하는 유기화학
[5] 2019 PEET 문제와 해설 - 생각하는 유기화학
2022.08.29 -
[4] 2018 PEET 문제와 해설 - 생각하는 유기화학
[4] 2018 PEET 문제와 해설 - 생각하는 유기화학
2022.08.29 -
[3] 2017 PEET 문제와 해설 - 생각하는 유기화학
[3] 2017 PEET 문제와 해설 - 생각하는 유기화학
2022.08.29 -
[1] 2015 PEET 문제와 해설 - 생각하는 유기화학
[1] 2015 PEET 문제와 해설 - 생각하는 유기화학
2022.08.29